Ensino e aprendizagem de isomeria constitucional na modalidade híbrida
Teaching and learning of constitutional isomerism in the hybrid modality
Enseñanza y aprendizaje de la isomería constitucional en la modalidade híbrida
Ederson Vinícius Argemiro (edersonviniciusargemiro@gmail.com)
Escola Técnica Estadual Antônio Junqueira da Veiga-Centro Paula Souza, Brasil
https://orcid.org/0009-0004-4457-1427
Evandro Roberto Alves (evandro.alves@uftm.edu.br)
Universidade Federal do Triângulo Mineiro, Brasil
https://orcid.org/0000-0003-4431-942X
Alexandre Rossi (alexandre.rossi@uftm.edu.br)
Universidade Federal do Triângulo Mineiro, Brasil
https://orcid.org/0000-0003-0007-3712
Resumo
A isomeria constitucional é um conteúdo abstrato, complexo e desafiador para a aprendizagem dos alunos do Ensino Médio, que pode comprometer o desempenho escolar e a compreensão de outros conceitos da Química.Apesar das diversas abordagens pedagógicas utilizadasno ensino de Química, há uma lacuna com relação àinvestigação das potencialidades do Ensino Híbrido na superação das dificuldades de aprendizagemdeisomeria constitucional.A aplicação do Ensino Híbridoa alunos do 2º ano do curso técnico em Química de uma Escola Estadual domunicípio de Igarapava/SP,envolveu o submodelo da sala de aula invertida e rotação por estações como estratégiasfacilitadorasda aprendizagem de isomeria constitucional. Inicialmente, foi constatado desconhecimento dos alunos sobre a isomeria,e quenecessitavamde um tempo de adaptação quanto à abordagem pedagógica aplicada. Contudo, após a aplicação das atividades planejadas,houve a compreensão do conteúdo e maior participação colaborativa durante as aulas. O uso dos aplicativos WhatsApp e Edpuzzle facilitaram a realização das atividades on-linee um jogo didático adaptado do “jogo da memória” serviu como recurso educacional para auxiliara aprendizagem.
Palavras-chave: metodologias ativas; rotação por estações; sala de aula invertida; ensino híbrido.
Abstract
Keywords: active methodologies; station rotation; flipped classroom; blended learning.
Resumen
La isomería constitucional es um contenido abstracto, complejo y desafiante para el aprendizaje de los estudiantes de la Educación Secundaria, lo que puede comprometer el rendimiento escolar y la comprensión de otros conceptos de la Química. A pesar de los diversos enfoques pedagógicos utilizados en la enseñanza de la Química, existe una brecha en la investigación sobre las potencialidades de la Enseñanza Híbrida para superar las dificultades de aprendizaje de la isomería constitucional. La aplicación de la Enseñanza Híbrida a estudiantes del segundo año del curso técnico en Química de una Escuela Estatal del municipio de Igarapava/SP implico el uso de los submodelos de aula invertida y rotación por estaciones como estrategias facilitadoras del aprendizaje de la isomería constitucional. Inicialmente, se constato el desconocimiento de los estudiantes sobre la isomería y la necesidad de un período de adaptación a la metodología pedagógica aplicada. No obstante, tras la implementación de las actividades planificadas, se observó una mejor comprensión del contenido y una mayor participación colaborativa durante las clases. El uso de las aplicaciones WhatsApp y Edpuzzle facilitó la realización de las actividades en línea, y un juego didáctico adaptado del ‘juego de la memoria’ sirvió como recurso educativo para apoyar el aprendizaje.
Palabras-clave: metodologias activas; rotación por estaciones; aula invertida; enseñanza híbrida.
INTRODUÇÃO
A isomeria é um conteúdo considerado abstrato, complexo e desafiador para a aprendizagem dos alunos do Ensino Médio, podendo comprometer o entendimento de conceitos posteriores e fundamentais da Química. As dificuldades de aprendizagem são atribuídas ao conhecimento insuficiente sobre as ligações químicas, funções orgânicas e geometria molecular, à abstração da visualização tridimensional de estruturas moleculares representadas no plano bidimensional eà escolha da metodologia de ensino pelo professor (Rezende, 2016; Trindade et al., 2020). Buscando minimizar essas dificuldades,o Ensino Híbrido (EH) é uma estratégia promissora e eficiente.Nessa abordagem, as atividades presenciais e à distância são interligadas,os conteúdos on-lineplanejados pelo professor utilizam tecnologias digitais que permitem monitorar os alunos durante os estudos, respeitando o ritmo de cada um. Nas atividades presenciais, o professor valoriza as relações interpessoais, acompanha a aprendizagem e complementaos conteúdos on-line,buscando o melhor resultado(Christensen; Horn;Staker, 2013). No EH,o aluno protagoniza a aprendizagem e o professor personaliza as atividades baseando-se em evidências e nas experiências individuais dos alunos CIEB (2021).
No modelo de rotação, proposto no EH (Christensen; Horn; Staker, 2013), a sala de aula invertida (SAI)(Flipped Classroom, em inglês) permite o prévio contatodo aluno com o conteúdo, antes de ser abordado na aula presencial (Bergmann; Sams, 2012). Ele é estudadoà distância e de formaon-line(Bacich; Tanzi; Trevisani, 2015), envolvendo recursos digitais, como videoaulas, textos, jogos, arquivos de áudio, dentre outros. Dessa forma é possível otimizar o tempo em sala de aula e priorizar atividades interativas, de aprofundamento e de discussões sobre o conteúdo (Adão, 2023). Segundo Sampaioet al.(2023), a aplicação da SAI no estudo de eletroquímicademonstroumelhoria na aprendizagem, autonomia e personalização do ensino. Semelhantemente, quando aplicada ao ensino de radioatividade, foi demonstrada satisfação pela maioria dos alunos, contribuindo para o desenvolvimento do raciocínio lógico e a superação das dificuldades relacionadas ao conteúdo (Lima-Júnior et al., 2017).
No submodelo de rotação por estações (RPE), os alunos são organizados em grupos e realizam atividades planejadas pelo professor em diferentes estações, valorizandoo trabalho colaborativo e personalizado. Asmudanças das estações são pré-definidas, de forma que todos os alunos realizamtodas as atividades previamente planejadas, de forma interligada e sem uma ordem específica.Os resultados referentes à aplicação do submodelo RPE têm sido promissores e interessantes. Serbim e Santos (2021) observaram participação mais ativa de alunosdurante a aprendizagem de “soluções”, a partir da aplicação desse submodelo, constatandomaior interatividade e motivação à aprendizagem do referido conteúdo. Relatos de resultados semelhantes foram publicados por vários outros autores (Lima-Júnioret al.,2020; Almarzuqi; Sulaiman; Mustakim, 2024).Portanto, o EH é apontado seruma modalidade promissora para o ensino e aprendizagem de Química, posicionando o aluno como protagonista desse processo (CIEB, 2021).
Este trabalho relata a aplicação do EH nos submodelos SAI e RPE, buscando minimizar as dificuldades de ensino e aprendizagem da isomeria constitucional. Como recurso didático, foi também apresentadoo jogo lúdico “Pareando Isômeros”, baseado no tradicional jogo da memória,com o intuito de suprir a escassez de recursos didáticos voltado para o ensino de isomeria constitucional.
METODOLOGIA
Este trabalho foi realizado com 21 alunos do 2º ano do curso técnico em Química do período noturno de uma Escola Estadual, localizada na zona rural do município de Igarapava/SP. Baseadas no EH, foram realizadas atividades em quatroetapas, com duração de uma semana para a realização da Etapa 2 (SAI), e mais cinco aulas de 50 minutos, reservadas às demais Etapas (Figura 1).Uma roda de conversa sobre a isomeria constitucional foi realizadaem sala de aula (Figura 1, Etapa 1), a fim de avaliar o conhecimento prévio dos alunose, em seguida, o Questionário A (Quadro 1),direcionado ao uso de Tecnologias Digitais de Informação e Comunicação (TDIC), foi aplicado.
Para conduzir os trabalhos on-line, seguindoo submodelo de SAI (Figura 1, Etapa 1), foram criados ambientes virtuais denominados “Isomeria” nos aplicativos Edpuzzle e WhatsApp, os alunos e o professor foram cadastrados. O Edpuzzle permitiu monitorar a visualização da videoaula pelos alunos, enquanto o WhatsApp serviu para compartilhar o link de acesso à videoaula e facilitar a comunicação à distância. Como estratégia de adaptação dos alunos ao EH, o professor enviava lembretesvia WhatsApp, incentivando-os a visualização e estudo da videoaula, bem comoreforçava que o êxito da proposta do EH dependeria do engajamento deles nas atividades.

Fonte: Os autores, 2025.
Figura 1 – Etapas do ensino de isomeria constitucional no modelo híbrido.
Quadro 1– Questionário A referente ao levantamento do perfil dos alunos.
|
1. Idade e Sexo. |
|
2. Tem acesso à internet em sua residência? Caso tenha, há quanto tempo? Prefere acessar de quais dispositivos eletrônicos (celular, tablet, computador)? |
|
3. Acessa conteúdos escolares pela internet? Há algum site de sua preferência? |
Fonte: Os Autores, 2025.
A videoaula selecionada para a aplicação do submodelo SAI teve o uso autorizado pelo autor, cujo link de acesso no YouTube é: https://www.youtube.com/watch?v=A8HSV2RPLss&t=2s.Alternativamente, o livro didático adotado pela Escolatambém foi indicado aos alunos. Após o cumprimento da SAI, as dúvidas dos alunos foram esclarecidas em sala de aula pelo professor, no Grupo de Estudo (Figura 1, Etapa 3), permitindo aretomada e o aprofundamento dosconteúdosque apresentaram dificuldadesde compreensão.
Ojogo “Pareando Isômeros”, semelhante ao jogo de memória, foi aplicadono submodelo RPE (Figura 1, Etapa 4, Estação 01). Cinco pares de cartas nas cores marrom, amarelo, verde, vermelho e preto foram elaboradosem papel cartão(10,5x8,0 cm),utilizando o ChemDraw. Asfórmulas químicas, estruturas moleculares e nomenclaturas dos isômerosforam impressas em papel A4, recortadas e cada par de isômeros foi colado nas respectivas cartas, respeitando as mesmas cores.Os isômeros selecionados para comporem as cartas do jogo foram: butan-1-ol/butan-2-ol e 1,2-dimetil-ciclo-hexano/1,4-dimetil-ciclo-hexano (isomeria de posição); butanal/butan-2-ona (isomeria de função); ciclo-pentano/pent-2-eno (isomeria de cadeia); N-metil-N-propilamina/N,N-dietilamina (metameria) e propanal/propenol (tautomeria).Os pares de cartas do jogo “Parenado Isômeros”correspondentes às isomerias de cadeia e de função estão representados na Figura 2.
Para a aplicação do jogo, os dezesseis alunos da turma foram divididosemgrupos de quatro componentes. A partida do jogoenvolviaa formação de pares de isômeros pelos alunos, considerando a cor das cartas e a análise das estruturas moleculares de mesma fórmula molecular. O acompanhamento do professor foi fundamental nessa atividade, de modo a garantirque os conceitos teóricos previamente estudados fossem aplicados.Após a análise das estruturas moleculares dos isômeros, cada grupo buscava o maior número de acertosdepositando o par de cartas em compartimentos plásticos, correspondentes ao tipo de isomeria constitucional. Essa atividade serviu para o professor monitorar a aprendizagem e esclarecer as dúvidas dos alunos.
A Estação 02 (Figura 1, Etapa 4), aplicada no submodelo RPE, objetivouavaliar a aprendizagem dos alunos por meio de questões de vestibulares e do Exame Nacional do Ensino Médio/ENEM contidas no Questionário B (Quadro 2), acessadopelos alunos vialink compartilhado noWhatsApp. A abordagem quantitativa foi utilizada para avaliar as respostas dos alunos. Para a realização das atividades das Estações 01 e 02, os grupos de alunos se revezaram entre si. Para os alunos que não tinham realizado as atividades da Estação 01foi permitido refazer o Questionário B.

Fonte: Os autores, 2025.
Figura 2 – Cartas representativas do jogo da memória “Pareando Isômeros”.
Quadro 2 – Questionário B sobre isomeria constitucional.
|
Questão 1. (Mackenzie-SP-modificada). Aalternativa que representa o tipo de isomeria entre os compostos é:
()Metameria () Função () Posição () Cadeia ()Tautomeria |
|
Questão 2. (Cesgranrio-RJ-modificada). As estruturas das substâncias A e B representadas a seguir, têm odores bem distintos e fórmulas moleculares idênticas, portanto, são isômeros. O tipo de isomeria que se verifica entre as substâncias A e B é:
( ) Tautometria () Metameria () Posição () Função () Cadeia |
|
Questão 3. (Mackenzie-SP-modificada). Dentre os pares de isômeros, assinale a alternativa que indica a isomeria de função.
( ) I ( ) II ( ) III ( ) IV ( ) Nenhuma alternativa
|
|
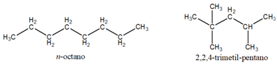
Questão 4. (ENEM-2012-modificada). Octanagem corresponde ao índice de resistência à detonação, em que o combustível é constituído por hidrocarbonetos contendo 8 átomos de carbono, cujas cadeias carbônicas são menores e ramificadas, como o 2,2,4-trimetilpentano. Marque a alternativa correta que representa o tipo de isomeria existente entre o n-octano e 2,2,4-trimetil-pentano.
( ) Posição ( ) Metameria ( ) Cadeia ( )Tautomeria ( ) Função |
|
Questão 5. (ENEM-2018-modificada). As abelhas rainhas produzem o sinalizador químico ácido 9-hidroxidec-2-enoico, enquanto as operárias, o ácido 10-hidroxidec-2-enoico, cujas estruturas moleculares são mostradas a seguir. Qual das alternativas indica a diferença entre as moléculas dos sinalizadores químicos produzidas pelas abelhas rainha e operária.
( ) Contagem do número de carbonos ( ) Fórmula estrutura ( )Grupos funcionais ( ) Fórmula molecular ( ) Nenhuma das alternativas |
Fonte: Os autores, 2025.
Após a aplicação das atividades do EH, os alunos tiveram a oportunidade de avaliar a contribuição de cada uma naaprendizagem de isomeria constitucional.
RESULTADOS E DISCUSSÃO
A apresentação do EH gerougrande expectativa de aprendizagem nos alunos, principalmente, por se tratar de uma abordagem de ensino diferente do habitual. Os recursos digitais e a videoaulaindicados para a realização dos estudos, foram atrativos e motivadores. O diálogo estabelecido com os alunos na Etapa 1 (Figura 1) reveloucerto desconhecimento em relação à isomeria constitucional, no entanto, os conteúdos essenciais e necessários para o entendimento da isomeria, eram conhecidos e dominados por eles.
Após as análises das respostas dos alunos em relação ao Questionário A, os resultados são apresentados no Quadro 3.
Quadro 3 - Perfil dos alunos e hábitos de estudo envolvendoas Tecnologias Digitais de Informação e Comunicação (TDIC).
|
Respostas – Questionário A |
|
Questão 1-A faixa etáriados alunos é de16 a39 anos, predominando as idades 18 anos (24%) e 28 anos (19%). A turma é composta por 33% do sexo masculino e 67%, do feminino, sendo esse perfil também constatado pelo Relatório do 4º Ciclo de Monitoramento do PNE (Brasil, 2022). |
|
Questão 2- Todos os alunos da pesquisa possuíam acesso à internet em casa, sendo que a maioria (72%) a utilizavam há anos. Predomina do usode celular (95%), cuja recomendação deve ser dosada no contexto pedagógico(Gathet al., 2024). |
|
Questão 3-A maioria dos alunos (67%) utiliza a internet para acessar vídeos explicativos e resoluções de exercícios, sobressaindo os sites Brasil Escola, Toda Matéria e Manual da Química. |
Fonte: Os autores, 2025.
A inclusão das TDIC na educação érecomendada pela Base Nacional Comum Curricular/BNCC e tem sido cada vez maisaceita(Sena, 2023). No submodelo SAI,os alunos acessaram a videoaula sobre isomeria constitucionalhospedada no Edpuzzle,pelo linkcompartilhadono grupo de WhatsAppe foram orientados a pausar a visualização, em caso de dúvidaseparafazerem anotações. O Edpuzzle indicou que 7 alunos (33%)não assistiram à videoaula,alegando como motivo a falta de familiaridade com a SAI eo fato de não ser uma prática comum na escola. Esse fato levou-os a manter as rotinas de estudos habituais, demonstrando a necessidade de um tempo para adaptação à nova abordagem de ensino. Alguns autores relatam que a falta de engajamentoe de adaptação dos alunos à SAI são os principais desafios a serem superados (Pavanelo; Lima, 2017; Araújo et al., 2023).As estratégias adotadas para minimizar essas dificuldades, conformena metodologia foram satisfatórias para a maioriados alunos, mostrando-se eficazes e garantindo que participassem mais ativamente da proposta pedagógica. Essas medidas permitiram melhor adaptação dos alunos, por um período de uma semana.Alternativamente, os alunos que não acessarama videoaula, mantiveram a conduta de estudos habituais, utilizando a leitura e a consulta do conteúdo no livro didático indicado pelo professor da turma.
Após a aplicação do submodelo SAI, as dúvidas dos alunos foram esclarecidas em sala de aula,durante o grupo de estudo (Etapa 3). Esse momento, contribuiu paraa melhoria da relação interpessoal aluno e professor.
No submodelo RPE,ojogo de memória “Pareando Isômeros”, aplicado em sala de aula,mostrou ser uma ferramenta didático pedagógica importante que,além de viabilizar o ensino de isomeria constitucional de maneira dinâmica e motivadora, desenvolveu habilidades interpessoais nos alunos, como,colaboração, momentos de reflexão e trocas de conhecimento, engajamento dos alunos durante as buscas pelas respostas corretas das questões referentes aos tipos de isomeria constitucional propostas (Figura 3).


Fonte: Os autores, 2025.
Figura 3–Jogo “Pareando Isômeros” - submodelo RPE.
Baseando-se em Focetola et al. (2012), Daniel e Ladeira (2022), o jogo não foi aplicado com a intenção de uma simples diversão e nemcomo única estratégia de ensino, mas, contribuiu como uma atividade de revisão, reforço e de fixação deconteúdo, possibilitando que os alunos se percebessem como sujeitos ativos da construção do próprio conhecimento. A literatura relata diversos autores corroborando com as potencialidades pedagógicas de jogos didáticos no ensino deQuímica (Daniel; Ladeira, 2022; De Morais; Da Silva, 2024; Cavagis; Benedetti-Filho, 2024).
Simultaneamente à Estação 01, foi aplicado o Questionário B na Estação 02, utilizando o Google Forms (Figura 1, Etapa 4), acessado pelolink compartilhado com os alunos no grupo de WhatsApp. As questões objetivaram avaliar a aprendizagem e, ao mesmo tempo, orientar os alunos sobre como o conteúdo é abordado em exames de vestibular. As respostas dos alunos foram socializadas em sala de aula e as dúvidas foram esclarecidas pelo professor. No encontro previsto para a aplicação das Estações 01 e 02, participaram 16 dos 21 alunos, por motivo de ausências.
Após a análise das respostas do Questionário B, a taxa de acertos foi superior a 50%, com exceção da questão 02 (Figura 4).

Fonte: Os autores, 2025.
Figura 4– Resultados obtidos após análise do Questionário B.
A questão 1foi a que apresentou a maior taxa de acertos (69%), considerando que a isomeria de compensação foi abordada com maior frequência durante a partida do jogo “Pareando Isômeros” epelo fato de ser confundidafacilmente com isomeria de posição. Aumentando o desafio da questão pela maior complexidade das moléculas, as questões 4 e 5tiveram 63% de acertos.
O índice de acertos das questões 2 e 3 foram 18 e 50%, respectivamente. A questão 2 evidenciou fragilidades dos alunos relacionadas às funções orgânicas. O resultado da questão 3 reflete a sua complexidade e a necessidade de uma análise mais detalhada da classificação da isomeria. Ao final das atividades, 94% dos alunos avaliaram satisfatoriamente a proposta pedagógica do EH e, 81% relataram que, o estudo on-line realizado previamente às explicações do professor,facilitou o entendimento da isomeria constitucional.
CONCLUSÕES
A maioria dos alunosparticipantes da pesquisa tinha dispositivos digitais e acesso à internet em casa;fato que contribuiu para a aplicação do EH na aprendizagem de isomeria constitucional. A utilizaçãodos submodelos SAI e RPE foi bem aceita pela maioria dos alunos, tornando o processo de ensino eaprendizagem mais interessante, produtivo e motivador, mesmo dianteda resistência inicial. OsaplicativosWhatsApp e Edpuzzle mostraram-se funcionais, incentivando o uso pelos alunos durante todo o processo. O jogo “Pareando Isômeros” demonstrou ser uma ferramenta didático pedagógica relevante,de baixo custo e eficaz no ensino e aprendizagem do conteúdo. Apesar de alguns desafios, o EH demonstrou flexibilidade às diferentes realidadesescolares, contribuindopara a melhoriado ensino da isomeria constitucional.
AGRADECIMENTOS
Ao Programa de Mestrado Profissional em Química em Rede Nacional/PROFQUI e à Coordenação de Aperfeiçoamento de Pessoal de Nível Superior/CAPES.
Recebido em: 14/08/2024
Aceito em: 27/08/2025
REFERÊNCIAS
ADÃO, Alberlice de Oliveira. A importância das tecnologias digitais no ensino e aprendizagem os alunos dos anos finais do ensino fundamental. Rebena-Revista Brasileira de Enbsino e Aprendizagem, [S.I.], v. 05, p. 154-176, 2023.
ALMARZUQI, Ali Abdullah; SULAIMAN, Tajularipin; MUSTAKIM, Siti Salina. Effects of Blended Learning Through Lab-Rotation (BLLR) Model on Motivating High School Students to Learn Chemistry Subject. International Journal of Academic Research in Business & Social Sciences, [S.I.], v. 14, n. 6, p. 434-444, 2024. Disponível em: https://kwpublications.com/papers_submitted/10780/effects-of-blended-learning-through-lab-rotation-bllr-model-on-motivating-high-school-students-to-learn-chemistry-subject.pdf. Acesso em: 11 fev. 2025.
ARAÚJO, Rodrigo Soares de Andrade; PONTES, Liliana Fernandes Barbosa Lima; BARBOSA, Karoline Ferreira; WEBER, Karen Christine; LIMA-JUNIOR, Claudio Gabriel. Sala de aula invertida e modelo de rotação por estações: uma breve revisão de suas aplicações no ensino de ciências. Revista Virtual de Química, v. 15, n. 4, p. 827-843, 2023. Disponível em:http://dx.doi.org/10.21577/1984-6835.20230004.Acesso em: 19 mai. 2025.
BACICH, Lilian; TANZI NETO, Adolfo; TREVISANI, Fernando de Mello. Ensino híbrido: personalização e tecnologia na educação. Porto Alegre: Penso, 2015.
BERGMANN, Jonathan; SAMS, Aaron. Flip your classroom: reach every student in every class every day. 1. ed. Washington: International Society for Technology in Education, ASDC, 2012.
BRASIL. Instituto Nacional de Estudos e Pesquisas Educacionais Anísio Teixeira. Relatório do 4º Ciclo de Monitoramento das Metas do Plano Nacional de Educação-2022. Brasília, DF: Inep, 2022.
CAVAGIS, Alexandre Donizeti Martins; BENEDETTI-FILHO, Edemar. Construção de um jogo educativo virtual e sua aplicação no ensino de Química. Química Nova na Escola, São Paulo, v. 46, n. 4, p. 589-595, nov. 2024. Disponível em: http://dx.doi.org/10.21577/0104-8899.20160423. Acesso em: 19 mai. 2025.
CHRISTENSEN, Clayton; HORN, Michael B.; STAKER, Heather. Ensino Híbrido: uma inovação disruptiva? Uma introdução à teoria dos híbridos. Tradução: Fundação Lemann e Instituto Península, Massachusetts, MA, 2013. Disponível em: https://www.christenseninstitute.org/publications/ensino-hibrido/. Acesso em: 28 jun. 2024.
CIEB. Centro De Inovação Para Educação Brasileira. Notas Técnicas #18: ensino híbrido e o uso das tecnologias digitais na educação básica. São Paulo, CIEB, 2021. 24 p. Disponível em: https://cieb.net.br/wp-content/uploads/2021/02/Nota-tecnica-18_Ensino-hibrido.pdf. Acesso em: 28 jun. 2024.
DANIEL, Luana Vanessa; LADEIRA, Francisco Fernandes. Uso do jogo "isometria em ação" como material didático para o ensino de Química na educação básica. Revista Eletrônica Sala de Aula em Foco, Juiz de Fora, MG, v. 10, n. 2, p. 14, 2022. Disponível em: https://doi.org/10.36524/saladeaula.v10i2.1313. Acesso em: 7 fev. 2025.
DE MORAIS, Marcos Batista; DA SILVA, Flávia Cristiane Vieira. Jogos e argumentação no ensino de química. Revista Educação, Cultura e Sociedade, v. 14, n. 1, p. 107-119, 2024. Disponível em: https://periodicos.unemat.br/index.php/recs/article/view/12320. Acesso em: 19mai. 2025.
FOCETOLA, Patrícia Barreto Mathias; CASTRO, Pedro Jaber; SOUZA, Aline Camargo Jesus de; GRION, Lucas da Silva; PEDRO, Nadia Cristina da Silva; IACK, Rafael dos Santos; ALMEIDA, Roberto Xavier de; OLIVEIRA, Anderson Cosme de; BARROS, Claudia Vargas Torres; VAITSMAN, Enilce; BRANDÃO, Juliana Barreto; GUERRA, Antonio Carlos de Oliveira; SILVA, Joaquim Fernando Mendes. Os Jogos Educacionais de Cartas como Estratégia de Ensino em Química. Química Nova na Escola, São Paulo, SP, v. 34, n. 4, p. 248-255, 2012. Disponível em: http://www.educadores.diaadia.pr.gov.br/arquivos/File/dezembro2012/quimica_artigos/jogos_educ_cartas_estrategias_ensino.pdf. Acessoem: 11 fev. 2025.
GATH, Megan E.; MONK, Lauren; SCOTT, Amy; GILLON, Gail. Smartphones at school: a mixed-methods analysis of educators’ and students’ perspectives on mobile phone use at school. EducationSciences, New Zealand, v. 14, n. 4:351, p. 1-17, 2024. Disponível em: https://www.mdpi.com/2227-7102/14/4/351. Acesso em: 12 ago. 2024.
LIMA-JÚNIOR, Cláudio Gabriel; CAVALCANTE, Amanda Meira de Araújo; OLIVEIRA, Nayara de Lima; SANTOS, Gilmar Feliciano; MONTEIRO-JÚNIOR, José Maurício A. Sala de Aula Invertida no Ensino de Química: Planejamento, Aplicação e Avaliação no Ensino Médio. Revista Debates em Ensino de Química, João Pessoa, PB, v. 03, n. 2, p. 119-145, 2017. Disponível em: https://www.journals.ufrpe.br/index.php/REDEQUIM/article/view/1787. Acesso em: 11 fev. 2025.
LIMA-JÚNIOR, Claudio Gabriel; OLIVEIRA, Nayara Lima; BARBOSA, Ana Cláudia Reis; LIMA JUNIOR, Afonso Barbosa. Aplicação do modelo híbrido de rotação por estações no ensino de química. Revista Debates em Ensino de Química, João Pessoa, PB, v. 06, n. 2, p. 133-162, 2020. Disponível em: https://www.journals.ufrpe.br/index.php/REDEQUIM/article/view/2862/482483928. Acesso em: 29 jan. 2025.
PAVANELO, Elisangela; LIMA, Renan. Sala de aula invertida: a análise de uma experiência na disciplina de cálculo I. Bolema, Rio Claro, SP, v. 31, n. 58, p. 739-759, 2017. Disponível em: https://www.scielo.br/j/bolema/a/czkXrB369jBLfrHYGLV4sbb/abstract/?lang=pt. Acesso em: 11 fev. 2025.
REZENDE, Glaucia Aparecida Andrade. Ensino de estereoquímica: construção de um modelo em sala de aula. 2016. Tese (Doutorado em Química) - Instituto de Química, Universidade Federal de Uberlândia, Uberlândia, 2016.
SAMPAIO, Francisca Kelly Araujo Leite; MARIANO, Fábio Sampaio; RIBEIRO, Viviane Gomes Pereira; MAZZETTO, Selma Elaine. Sala de aula invertida e ensino sob medida aplicados remotamente para o ensino de química: ganho de Hake. Revista Debates em Ensino de Química, [S.I.], v. 9, n. 4, p. 107-124, 2023. Disponível em: https://www.journals.ufrpe.br/index.php/REDEQUIM/article/view/5146/482485196. Acesso em 28 jan. 2025.
SENA, Willame Nogueira. O uso pedagógico das TDIC em sala de aula: saberes necessários a uma prática crítica e significativa. Revista Contemporânea, v. 3, n.8, p. 13031-13052, 2023. Disponível em: https://ojs.revistacontemporanea.com/ojs/index.php/home/article/view/1351. Acesso em: 19 mai. 2025.
SERBIM, Flávia Braga do Nascimento; SANTOS, Adriana Cavalcanti Dos. Metodologia ativa no ensino de Química: avaliação dos contributos de uma proposta de rotação por estações de aprendizagem. Revista Electrónica de Enseñanza de las Ciencias, [S.I.], v. 20, n. 1, p. 49-72, 2021. Disponível em: http://reec.uvigo.es/volumenes/volumen20/REEC_20_1_3_ex1539_93.pdf. Acesso em: 11 fev. 2025.
SILVA, Janduir Egito; SILVA JUNIOR, Carlos Nascimento; OLIVEIRA, Otom Anselmo; CORDEIRO, Diego Oliveira. Pistas orgânicas: um jogo para o processo de ensino e aprendizagem da química. Química Nova na Escola, São Paulo, SP, v. 40, n. 1, p. 25-31, 2018. Disponível em: http://qnesc.sbq.org.br/online/qnesc40_1/06-RSA-04-17.pdf. Acesso em: 11 fev. 2025.
TRINDADE, ÍvinaThayná Miranda; DE SOUSA, Elson Almeida; MENESES, Jean Michel Santos; LOPES, Aniele Silva Neves; CORREA, Geone Maia; DO CARMO, Dominique Fernandes Moura. Aplicação de Estudo de Caso no Ensino de Isomeria Espacial no Ensino Médio. EuropeanAcademicResearch,Itacoatiara, AM,v. 3, n. 3, p. 1679-1697, 2020. Disponível em: https://euacademic.org/UploadArticle/4421.pdf. Acesso em: 11 fev. 2025.